Nota
O acesso a esta página requer autorização. Pode tentar iniciar sessão ou alterar os diretórios.
O acesso a esta página requer autorização. Pode tentar alterar os diretórios.
Importante
O suporte para o Estúdio de ML (clássico) terminará a 31 de agosto de 2024. Recomendamos a transição para o Azure Machine Learning até essa data.
A partir de 1 de dezembro de 2021, não poderá criar novos recursos do Estúdio de ML (clássico). Até 31 de agosto de 2024, pode continuar a utilizar os recursos existentes do Estúdio de ML (clássico).
- Consulte informações sobre projetos de machine learning em movimento de ML Studio (clássico) para Azure Machine Learning.
- Saiba mais sobre Azure Machine Learning.
A documentação do Estúdio de ML (clássico) está a ser descontinuada e poderá não ser atualizada no futuro.
Compara meios de duas colunas usando um t-test
Categoria: Funções Estatísticas
Nota
Aplica-se a: Machine Learning Studio (clássico) apenas
Módulos semelhantes de arrasto e queda estão disponíveis em Azure Machine Learning designer.
Visão geral do módulo
Este artigo descreve como usar a hipótese de teste Usando o módulo t-Test em Machine Learning Studio (clássico), para gerar pontuações para três tipos de t-testes:
- T-teste de amostra única
- T-teste emparelhado
- T-test não remunerado
Em geral, um t-test ajuda a comparar se dois grupos têm meios diferentes. Por exemplo, suponha que está a avaliar os dados do ensaio para pacientes que receberam o fármaco A vs. pacientes que receberam o fármaco B, e você precisa comparar uma métrica de taxa de recuperação para ambos os grupos. A hipótese nupálula pressupõe que a taxa de recuperação é a mesma em ambos os grupos e, além disso, que os valores da taxa de recuperação têm uma distribuição normal em ambos os grupos.
Ao utilizar a hipótese do teste Utilizando t-Test e fornecendo as colunas que contêm as taxas de recuperação como entrada, pode obter pontuações que indiquem se a diferença é significativa, o que significaria que a hipótese de nulo deve ser rejeitada. O teste tem em conta fatores como o tamanho da diferença entre os valores, o tamanho da amostra (maior é melhor) e o tamanho do desvio padrão (menor é melhor).
Ao rever os resultados da hipótese de teste Utilizando o módulo t-Test , pode determinar se a hipótese de nulo é VERDADEIRA ou FALSA, e rever as pontuações de confiança (P) do t-test.
Como escolher um t-teste
Escolha um único teste de amostra t quando estas condições se aplicarem:
Tens uma única amostra de pontuação.
Todas as pontuações são independentes umas das outras.
A distribuição de amostragem de xˉ é normal.
Em geral, o t-teste de amostra única é usado para comparar um valor médio com um número conhecido.
Escolha um t-teste emparelhado quando estas condições se aplicarem:
Tens um par de pontuações compatíveis. Por exemplo, você pode ter duas medidas diferentes por pessoa, ou pares de indivíduos combinados (como marido e mulher).
Cada par de pontuações é independente de todos os outros pares.
A distribuição de amostragem de d é normal.
Um t-test emparelhado é útil quando se compara casos relacionados. Ao calcular as diferenças entre as pontuações dos casos emparelhados, pode determinar se a diferença total é estatisticamente significativa.
Escolha um t-test sem saúde quando estas condições se aplicarem:
Tem duas amostras independentes de pontuações. Ou seja, não há base para emparelhar pontuações na amostra 1 com as da amostra 2.
Todas as pontuações dentro de uma amostra são independentes de todas as outras pontuações dentro dessa amostra.
A distribuição de amostragem de x1-x2 é normal.
Opcionalmente, satisfaça a exigência de que a variação entre os grupos seja aproximadamente igual.
Como configurar a hipótese do teste usando t-Test
Utilize um único conjunto de dados como entrada. As colunas que está a comparar devem estar no mesmo conjunto de dados.
Se precisar de comparar colunas de diferentes conjuntos de dados, pode isolar cada coluna para comparar utilizando Colunas Selecionadas no Conjunto de Dados e, em seguida, fundi-las num conjunto de dados utilizando Colunas adicionais.
Adicione a hipótese do teste Utilizando o módulo t-Test à sua experiência.
Pode encontrar este módulo na categoria Funções Estatísticas em Estúdio (clássico).
Adicione o conjunto de dados que contém a coluna ou colunas que pretende analisar.
Decida que tipo de teste t é apropriado para os seus dados. Veja como escolher um t-test.
Amostra única: Se estiver a utilizar uma única amostra, desafase estes parâmetros:
Hipótese nula μ: Digite o valor a utilizar como média de hipótese nula para a amostra. Isto especifica o valor médio esperado contra o qual a média da amostra será testada.
Coluna-alvo: Utilize o Seletor de Colunas para escolher uma única coluna numérica para testes.
Tipo de hipótese: Escolha um teste de uma cauda ou duas caudas. O padrão é um teste de duas caudas. Este é o tipo de teste mais comum, no qual a distribuição esperada é simétrica em torno de zero.
A opção One Tail GT é para uma cauda maior do que o teste. Este teste dá mais poder para detetar um efeito numa direção, não testando o efeito na outra direção.
A opção One Tail LT dá uma cauda inferior a um teste.
α: Especificar um fator de confiança. Este valor é utilizado para avaliar o valor de P (a primeira saída do módulo). Se p for inferior ao fator de confiança, a hipótese nulo é rejeitada.
Pares Exemplos: Se estiver a comparar duas amostras da mesma população, desacorda estes parâmetros:
Hipótese nula μ: Digite um valor que represente a diferença de amostra entre o par de amostras.
Coluna-alvo: Utilize o Seletor de Colunas para escolher as duas colunas numéricas para testar.
Tipo de hipótese: Selecione um teste de uma cauda ou de duas caudas. O padrão é um teste de duas caudas.
α: Especificar o fator de confiança. Este valor é utilizado para avaliar o valor de P (a primeira saída do módulo)> Se p for inferior ao fator de confiança, a hipótese nula é rejeitada.
Amostras não pagas: Se comparar duas amostras não pagas, desacciver estes parâmetros:
- Assuma igual variação: Desmarcar esta opção quando as amostras são de diferentes populações.
- Hipótese nula μ1: Digite a média para a primeira coluna.
- Hipótese nula μ2: Digite a média para a segunda coluna.
- Colunas-alvo: Utilize o Seletor de Colunas para escolher duas colunas numéricas para testar.
- Tipo de hipótese: Indicar se o teste é de uma cauda ou de duas caudas. O padrão é um teste de duas caudas.
- α: Especificar o fator de confiança. Este valor é utilizado para avaliar o valor de P (a primeira saída do módulo)> Se p for inferior ao fator de confiança, a hipótese nula é rejeitada.
Execute a experimentação.
Resultados
A saída do módulo é um conjunto de dados que contém as pontuações de t-test, e uma transformação que pode opcionalmente guardar para se recandidatar a este ou outro conjunto de dados usando a Apply Transformation.
O conjunto de dados de pontuações contém estes valores, independentemente do tipo de t-teste utilizado:
- Uma pontuação de probabilidade que indica a confiança da hipótese nulo
- Um valor que indique se a hipótese de nulo deve ser rejeitada
Dica
Lembre-se, o objetivo é determinar se pode rejeitar a hipótese de nulo. Uma pontuação de 0 não significa que deve aceitar a hipótese nula: significa que não tem dados suficientes e precisa de mais investigação.
Notas técnicas
O módulo designa automaticamente as colunas de saída de acordo com as seguintes convenções, dependendo do tipo de teste t selecionado, e se o resultado foi rejeitar ou aceitar a hipótese nulo.
Dadas as colunas de entrada com nomes {0} e {1}, o módulo cria os seguintes nomes:
| Colunas | SingleSampleSet | ParesSamples | Não costuradas |
|---|---|---|---|
| Coluna de saída P | P_ss({0}) | P_ps({0}, {1}) | P_us({0}, {1}) |
| Coluna de saída RejeitarH0 | RejectH0_ss({0})" | RejectH0_ps({0}, {1}) | RejectH0_us({0}, {1}) |
Como as pontuações são calculadas
Este módulo calcula e utiliza o desvio padrão da amostra; portanto, a equação utiliza (n-1) no denominador.
Pontuações de computação para um teste de amostra única
Dada uma única amostra de pontuações, todas independentes umas das outras, e uma distribuição normal, a pontuação é calculada da seguinte forma:
Tome a seguinte informação:
- Uma única coluna de valores do conjunto de dados
- O parâmetro de hipótese nulo (H0) μ0
- A pontuação de confiança especificada por α
Extrair o número de amostras (n).
Calcular a média dos dados da amostra.
Calcular o desvio padrão (s) dos dados da amostra.
Calcular t e graus de liberdade (df):

Extrair probabilidade P da tabela de distribuição T usando t e df.
Pontuações de computação para um t-teste emparelhado
Dado um conjunto de pontuações combinado, com cada par independente do outro, e uma distribuição normal em cada conjunto, a pontuação é calculada da seguinte forma:
Tome a seguinte informação:
- Duas colunas de valores do conjunto de dados
- O parâmetro d0 da hipótese nulo (H0)
- A pontuação de confiança especificada por α
Extrair um número de pares de amostras (n).
Calcular a média das diferenças para os dados da amostra:

Calcular o desvio padrão das diferenças (sd).
Calcular t e os graus de liberdade (df):

Extrair probabilidade (P) da tabela de distribuição (T) utilizando t e df.
Pontuações de computação para um t-test não remunerado
Tendo em conta duas amostras independentes de pontuações, com uma distribuição normal dos valores em cada amostra, a pontuação é calculada da seguinte forma:
Tome a seguinte informação:
- Um conjunto de dados que contém duas colunas de
doubles - O parâmetro de hipótese nulo (H0) (d0)
- A pontuação de confiança especificada por α
- Um conjunto de dados que contém duas colunas de
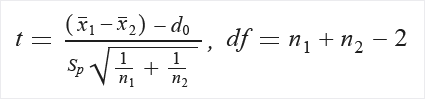
Extrair uma série de amostras em cada grupo, n1 e n2.
Calcular os meios para cada um dos conjuntos de amostras.
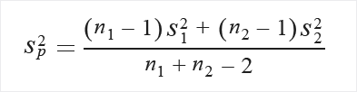
Calcular o desvio padrão para cada grupo como s1 e s2.
Calcular t e graus de liberdade (df):
Opcionalmente, satisfaça a exigência de que a variação entre os grupos seja aproximadamente igual:
Calcular primeiro o desvio padrão em conjunto:

Se não houver suposição sobre a igualdade de variação, calcule da seguinte forma:

Extrair P da mesa de distribuição (T) utilizando t e df.
Calcular a hipótese nulo
A probabilidade da hipótese nulo, designada como P, é calculada da seguinte forma:
Se P < α, coloque a bandeira de rejeição para a Verdade.
Se P ≥ α, coloque a bandeira de rejeição em falso.
Entradas esperadas
| Nome | Tipo | Description |
|---|---|---|
| Conjunto de dados | Tabela de Dados | Conjunto de dados de entrada |
Parâmetros do módulo
| Nome | Intervalo | Tipo | Predefinição | Description |
|---|---|---|---|---|
| Tipo de hipótese | Qualquer | Hipótese | Duas caudas | Tipo de hipótese nulo de t-teste do aluno |
| μ de hipóteses nulas | Qualquer | Float | 0,0 | Para o único t-teste de amostra, a média de nulo-hipótese para a amostra Para o t-teste emparelhado, a diferença de amostra |
| Colunas-alvo(s) | Qualquer | Seleção de Colunas | Nenhuma | Padrão de seleção de colunas-alvo |
| Assuma variações iguais | Qualquer | Booleano | Verdadeiro | Assumir que variações de duas amostras são iguais Aplica-se apenas a amostras não pagas |
| Hipótese nula μ1 | Qualquer | Float | 0,0 | Média de hipóteses nulas para a primeira amostra |
| α | [0.0;1.0] | Float | 0.95 | Fator de confiança (se P for inferior ao fator de confiança, a hipótese de nulo é rejeitada) |
Saídas
| Nome | Tipo | Description |
|---|---|---|
| P | Tabela de Dados | Uma pontuação de probabilidade que indica a confiança da hipótese nulo |
| Rejeitar H0 | Tabela de Dados | Valor que indica se a hipótese de nulo deve ser rejeitada |
Exceções
| Exceção | Description |
|---|---|
| Erro 0003 | A exceção ocorre se uma ou mais entradas forem nulas ou vazias. |
| Erro 0008 | A exceção ocorre se o parâmetro não estiver ao alcance. |
| Erro 0017 | A exceção ocorre se uma ou mais colunas especificadas tiverem um tipo que não é suportado pelo módulo atual. |
| Erro 0020 | A exceção ocorre se o número de colunas em alguns dos conjuntos de dados passados para o módulo for demasiado pequeno. |
| Erro 0021 | A exceção ocorre se o número de linhas em alguns dos conjuntos de dados passados para o módulo for demasiado pequeno. |
| Erro 0031 | A exceção ocorre se o número de colunas no conjunto de colunas for inferior ao necessário. |
| Erro 0032 | A exceção ocorre se o argumento não for um número. |
| Erro 0033 | A exceção ocorre se o argumento for infinito. |
Para obter uma lista de erros específicos dos módulos Studio (clássicos), consulte Machine Learning Códigos de Erro.
Para obter uma lista de exceções da API, consulte Machine Learning CÓDIGOs de Erro da API REST.