重要
Machine Learning Studio (クラシック) のサポートは、2024 年 8 月 31 日に終了します。 その日までに、Azure Machine Learning に切り替えすることをお勧めします。
2021 年 12 月 1 日以降、新しい Machine Learning Studio (クラシック) リソースは作成できません。 2024 年 8 月 31 日まで、既存の Machine Learning Studio (クラシック) リソースを引き続き使用できます。
- ML Studio (クラシック) から Azure Machine Learning への機械学習プロジェクトの移動に関する情報を参照してください。
- Azure Machine Learning についての詳細を参照してください。
ML Studio (クラシック) のドキュメントは廃止予定であり、今後更新されない可能性があります。
t 検定を使用した 2 つの列からの平均の比較
カテゴリ: 統計関数
注意
適用対象: Machine Learning Studio (クラシック) のみ
類似のドラッグ アンド ドロップ モジュールは Azure Machine Learning デザイナーで使用できます。
モジュールの概要
この記事では、Machine Learning Studio (クラシック) の t-Test モジュールを使用してテスト仮説を使用して、3 種類の t 検定のスコアを生成する方法について説明します。
- 単一サンプル t 検定
- 対応のある t 検定
- 対応のない t 検定
一般に、t 検定を使用すると、2 つのグループの平均が異なるかどうかを比較できます。 たとえば、薬 A を摂取した患者と薬 B を摂取した患者の試行データを評価し、両グループの回復率メトリックを比較する必要があるとします。 帰無仮説では、回復率は両グループで同じであり、回復率の値は 2 つの両方のグループで正規分布であると仮定します。
t 検定を使用して検定仮説を使用し、回復率を含む列を入力として指定することで、差が意味があるかどうかを示すスコアを取得できます。これは、帰無仮説を拒否する必要があることを意味します。 この検定では、値の間の差異の大きさ、サンプルのサイズ (大きい方が好ましい)、標準偏差の大きさ (小さい方が好ましい) などの要因が考慮されます。
t 検定モジュールを使用して検定仮説の結果を確認することで、帰無仮説が TRUE か FALSE かを判断し、t 検定の信頼度 (P) スコアを確認できます。
t 検定を選択する方法
次の条件が適用される場合 は、1 つのサンプル t 検定 を選択します。
スコアのサンプルが 1 つあること。
すべてのスコアが互いに独立していること。
xˉ のサンプリング分布が正常であること。
一般に、単一サンプル t 検定は、平均値を既知の値と比較するために使用されます。
次の条件 が適用される場合は、ペアの t 検定 を選択します。
対応するスコアがあること。 たとえば、個人ごとに 2 種類の評価基準がある場合、つまり対応する個人がいる場合です (夫と妻など)。
スコアの各対応が、その他の各対応とは独立していること。
d のサンプリング分布は正常です。
対応のある t 検定は、関連するケースを比較する際に役立ちます。 対応のあるケースのスコアの差異の平均を計算することにより、合計の差異が統計的に有意であるかどうかを判断できます。
次の条件が適用 される場合は、ペアになっていない t テスト を選択します。
独立したスコアのサンプルが 2 つあること。 つまり、サンプル 1 のスコアとサンプル 2 のスコアを対応させるための基準がないこと。
サンプル内のすべてのスコアは、そのサンプル内の他のすべてのスコアから独立していること。
x1- x2 のサンプリング分布は正常です。
必要に応じて、グループ間の分散がほぼ等しくなければならないという要件を満たします。
t 検定を使用して検定仮説を構成する方法
入力として 1 つのデータセットを使用します。 比較する列は、同じデータセット内にある必要があります。
異なるデータセットの列を比較する必要がある場合は、データセット 内の列の選択を使用して比較する各列を分離し、[ 列の追加] を使用して 1 つのデータセットにマージできます。
t-Test モジュールを使用してテスト仮説を実験に追加します。
このモジュールは、Studio (クラシック) の 統計関数 カテゴリにあります。
分析する列を含むデータセットを追加します。
データに適した t 検定の種類を決定します。 t 検定を選択する方法を参照してください。
1 つのサンプル: 1 つのサンプルを使用している場合は、次のパラメーターを設定します。
Null 仮説μ: サンプルの null 仮説平均として使用する値を入力します。 これは、サンプル平均がテストされる予想平均値を指定します。
ターゲット列: 列セレクターを使用して、テスト用の 1 つの数値列を選択します。
仮説の種類: 一方または 2 尾の検定を選択します。 既定は両側検定です。 最も一般的な種類の検定です。分布は、ゼロを中心に対称的になります。
One Tail GT オプションは、テストよりも 1 尾の方が大きい場合に使用します。 このテストでは、一方向の効果を検出する力が高くなります。これは、その効果を他の方向でテストしないことです。
One Tail LT オプションでは、テストよりも 1 尾の方が小さくなります。
α: 信頼度係数を指定します。 この値は、P (モジュールの最初の出力) の値を評価するために使用されます。 p が信頼係数より低い場合、帰無仮説は拒否されます。
PairedSamples: 同じ母集団から 2 つのサンプルを比較する場合は、次のパラメーターを設定します。
null 仮説μ: サンプルのペア間のサンプル差を表す値を入力します。
ターゲット列: 列セレクターを使用して、テストする 2 つの数値列を選択します。
仮説の種類: 一尾検定または 2 尾検定のいずれかを選択します。 既定は両側検定です。
α: 信頼度係数を指定します。 この値は、P の値 (モジュールの最初の出力)> を評価するために使用されます。p が信頼係数より低い場合、帰無仮説は拒否されます。
UnpairedSamples: ペアになっていない 2 つのサンプルを比較する場合は、次のパラメーターを設定します。
- 等分散を想定する: サンプルが異なる母集団の場合は、このオプションの選択を解除します。
- Null 仮説 μ1: 最初の列の平均を入力します。
- Null 仮説 μ2: 2 列目の平均値を入力します。
- ターゲット列: 列セレクターを使用して、テストする 2 つの数値列を選択します。
- 仮説の種類: 検定が一方尾か 2 尾かを示します。 既定は両側検定です。
- α: 信頼度係数を指定します。 この値は、P の値 (モジュールの最初の出力)> を評価するために使用されます。p が信頼係数より低い場合、帰無仮説は拒否されます。
実験を実行します。
結果
モジュールの出力は、t テスト スコアを含むデータセットと、必要に応じて保存して、Apply Transformation を使用してこのデータセットまたは別のデータセットに再適用できる 変換です。
スコアのデータセットには、使用した t テストの種類に関係なく、次の値が含まれます。
- 帰無仮説の信頼度を示す確率スコア
- 帰無仮説を棄却するかどうかを示す値
ヒント
目標は、帰無仮説を拒否できるかどうかを判断することです。 スコアが 0 の場合は、帰無仮説を受け入れる必要はありません。つまり、十分なデータがなく、さらに調査が必要です。
テクニカル ノート
選択した検定の種類と結果 (帰無仮説を棄却するか、受け入れるか) に応じて、次の規則に従って、出力列に自動的に名前が付けられます。
名前 {0} と入力列を指定すると、 {1}モジュールによって次の名前が作成されます。
| [列] | SingleSampleSet | PairedSamples | UnpairedSamples |
|---|---|---|---|
| 出力列 P | P_ss({0}) | P_ps({0}, {1}) | P_us({0}, {1}) |
| 出力列 RejectH0 | RejectH0_ss({0})" | RejectH0_ps({0}, {1}) | RejectH0_us({0}, {1}) |
スコアの計算方法
このモジュールでは、サンプル標準偏差を計算して使用します。したがって、式は分母で使用 (n-1) されます。
単一サンプル テストのスコアの計算
単一サンプルのスコアで、互いにすべて独立しており、正規分布の場合、スコアは次のように計算されます。
次の入力を使用します。
- データセットの単一の列の値
- 帰無仮説 (H0) パラメーター μ0
- α で指定される信頼度スコア
サンプルの数 (n) を抽出します。
サンプル データの平均を計算します。
サンプル データの標準偏差を計算します。
t と自由度 (df) を計算します。

t と df を使用して、分布テーブル T から確率 P を抽出します。
ペアの t 検定のスコアの計算
対応するスコアのセットで、各対応が他の対応から独立し、各セットに正規分布がある場合、スコアは次のように計算されます。
次の入力を使用します。
- データセットの 2 列の値
- 帰無仮説 (H0) パラメーター d0
- α で指定される信頼度スコア
いくつかのサンプル ペア (n) を抽出します。
サンプル データの差の平均を計算します。

差の標準偏差 (sd) を計算します。
t と自由度 (df) を計算します。

t と df を使用して、分布テーブル (T) から確率 (P) を抽出します。
ペアになっていない t テストのスコアを計算する
独立したスコアのサンプルが 2 つあり、各サンプルの値に正規分布がある場合、スコアは次のように計算します。
次の入力を使用します。
- 2 列の
doublesを含むデータセット - 帰無仮説 (H0) パラメーター (d0)
- α で指定される信頼度スコア
- 2 列の
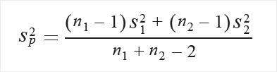
各グループ n1 と n2 のサンプルの数を抽出します。
各サンプル セットの平均を計算します。
各グループの標準偏差を s1 および s2 として計算します。
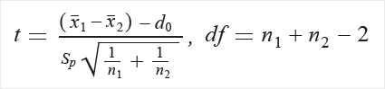
t と自由度 (df) を計算します。
必要に応じて、次のようにグループ間の分散がほぼ等しくなければならないという要件を満たします。
まず、プールされた標準偏差を計算します。

等分散に関する過程がない場合は、次のように計算します。

t と df を使用して、分布テーブル (T) から P を抽出します。
帰無仮説の計算
帰無仮説の確率は、P と指定され、次のように計算されます。
P < α場合は、拒否フラグを True に設定します。
P ≥ α場合は、拒否フラグを False に設定します。
想定される入力
| 名前 | Type | 説明 |
|---|---|---|
| データセット | データ テーブル | 入力データセット |
モジュールのパラメーター
| 名前 | Range | Type | Default | 説明 |
|---|---|---|---|---|
| 仮説の型 | Any | 仮説 | 両側 | スチューデントの t 検定の帰無仮説型 |
| 帰無仮説 μ | Any | Float | 0.0 | 単一サンプル t 検定の場合は、サンプルの帰無仮説平均 対応のある t 検定の場合は、サンプルの差 |
| Target column(s) (ターゲット列) | Any | ColumnSelection | なし | 対象列の選択パターン |
| 等分散を仮定する | Any | Boolean | True | 2 つのサンプルの分散が等しいと仮定します 対応のないサンプルのみに適用されます |
| 帰無仮説 μ1 | Any | Float | 0.0 | 1 つ目のサンプルの帰無仮説平均 |
| α | [0.0;1.0] | Float | 0.95 | 信頼度 (P が信頼度未満の場合、帰無仮説は棄却されます) |
出力
| 名前 | Type | 説明 |
|---|---|---|
| P | データ テーブル | 帰無仮説の信頼度を示す確率スコア |
| 棄却 H0 | データ テーブル | 帰無仮説を棄却するかどうかを示す値 |
例外
| 例外 | 説明 |
|---|---|
| エラー 0003 | 1 つまたは複数の入力が null または空の場合、例外が発生します。 |
| エラー 0008 | パラメーターが範囲内にない場合、例外が発生します。 |
| エラー 0017 | 指定した 1 つまたは複数の列に、現在のモジュールでサポートされていない型がある場合、例外が発生します。 |
| エラー 0020 | モジュールに渡された一部のデータセットの列数が少なすぎる場合に、例外が発生します。 |
| エラー 0021 | モジュールに渡された一部のデータセットの行数が少なすぎる場合に、例外が発生します。 |
| エラー 0031 | 列セット内の列の数が必要な数よりも少ない場合に、例外が発生します。 |
| エラー 0032 | 引数が数値ではない場合に、例外が発生します。 |
| エラー 0033 | 引数が無限大ではない場合に、例外が発生します。 |
Studio (クラシック) モジュールに固有のエラーの一覧については、「Machine Learningエラー コード」を参照してください。
API の例外の一覧については、「REST API エラー コードMachine Learning」を参照してください。