Nota
O acesso a esta página requer autorização. Pode tentar iniciar sessão ou alterar os diretórios.
O acesso a esta página requer autorização. Pode tentar alterar os diretórios.
Representa uma transformação 2D que afeta a escala de um visual ao longo do eixo x e do eixo y. O sistema de coordenadas é dimensionado do ponto central especificado.
Herança
A interface IDCompositionScaleTransform herda de IDCompositionTransform. IDCompositionScaleTransform também tem estes tipos de membros:
Métodos
A interface IDCompositionScaleTransform tem esses métodos.
|
IDCompositionScaleTransform::SetCenterX Altera o valor da propriedade CenterX de uma transformação de escala 2D. |
|
IDCompositionScaleTransform::SetCenterX Anima o valor da propriedade CenterX de uma transformação de escala 2D. |
|
IDCompositionScaleTransform::SetCenterY Altera o valor da propriedade CenterY de uma transformação de escala 2D. |
|
IDCompositionScaleTransform::SetCenterY Anima o valor da propriedade CenterY de uma transformação de escala 2D. |
|
IDCompositionScaleTransform::SetScaleX Altera o valor da propriedade ScaleX de uma transformação de escala 2D. |
|
IDCompositionScaleTransform::SetScaleX Anima o valor da propriedade ScaleX de uma transformação de escala 2D. |
|
IDCompositionScaleTransform::SetScaleY Altera o valor da propriedade ScaleY de uma transformação de escala 2D. |
|
IDCompositionScaleTransform::SetScaleY Anima o valor da propriedade ScaleY de uma transformação de escala 2D. |
Comentários
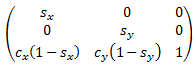
Uma transformação de escala representa a seguinte matriz 3 por 3:
O efeito é escalar ou reduzir verticalmente o sistema de coordenadas e aplicar a tradução correspondente de modo que o ponto central não se mova.
Requisitos
| Cliente mínimo com suporte | Windows 8 [somente aplicativos da área de trabalho] |
| Servidor mínimo com suporte | Windows Server 2012 [somente aplicativos da área de trabalho] |
| Plataforma de Destino | Windows |
| Cabeçalho | dcomp.h |