Partilhar via


Filtro User-Defined

Cria um filtro de resposta por impulso finito ou infinito personalizado

Categoria: Transformação de Dados / Filtro

Nota

Aplica-se a: Machine Learning Studio (clássico) apenas

Módulos semelhantes de arrasto e queda estão disponíveis em Azure Machine Learning designer.

Visão geral do módulo

Este artigo descreve como utilizar o módulo filtro definido pelo utilizador no Machine Learning Studio (clássico), para definir um filtro personalizado utilizando um filtro de resposta por impulso finito (FIR) ou um filtro de resposta por impulso infinito (IIR) com coeficientes que especifica.

Um filtro é uma função de transferência que toma um sinal de entrada e cria um sinal de saída baseado nas características do filtro. Para obter informações mais gerais sobre o utilizador de filtros no processamento de sinais digitais, consulte Filter. Este módulo é particularmente útil para aplicar um conjunto de coeficientes de filtro previamente derivados aos seus dados.

Depois de ter definido um filtro que satisfaça as suas necessidades, pode aplicar o filtro aos dados ligando um conjunto de dados e o filtro ao módulo 'Aplicar Filtro '.

Dica

É necessário filtrar dados de um conjunto de dados ou remover valores em falta? Utilize estes módulos em vez disso:

  • Limpar dados em falta: Utilize este módulo para remover os valores em falta ou substituir os valores em falta por espaços reservados.
  • Partição e Amostra: Utilize este módulo para dividir ou filtrar o conjunto de dados por critérios como uma gama de datas, um valor específico ou expressões regulares.
  • Valores do clipe: Utilize este módulo para definir um intervalo e mantenha apenas os valores dentro desse intervalo.

Como configurar o filtro User-Defined

  1. Adicione o módulo filtro definido pelo utilizador à sua experiência no Studio (clássico). Pode encontrar este módulo na categoria De Transformação de Dados, na categoria Filtro .

  2. No painel Propriedades , escolha um tipo de filtro: filtro FIR ou filtro IIR.

  3. Forneça os coeficientes para aplicar no filtro. Os requisitos para os coeficientes diferem consoante escolha um filtro FIR ou um filtro IIR.

    • Para um filtro FIR, você especifica um vetor de coeficientes de feed-forward. O comprimento do vetor determina a ordem do filtro. Um filtro FIR é efetivamente uma média móvel, pelo que os valores de configuração aplicam uma média móvel para filtrar uma sequência de dados.

    • Para um filtro IIR, aplica coeficientes personalizados para avançar e para trás. Consulte a secção Exemplos para obter algumas dicas.

  4. Ligação o filtro para aplicar o filtro e ligue um conjunto de dados.

    Utilize o seletor de colunas para especificar quais as colunas do conjunto de dados às quais o filtro deve ser aplicado. Por predefinição, o módulo 'Filtro' Aplicar-se-á para todas as colunas numéricas selecionadas.

  5. Execute a experimentação.

    As transformações especificadas são aplicadas apenas nas colunas numéricas selecionadas quando executar a experiência utilizando o Filtro De aplicação.

Exemplos

Para obter mais exemplos de como os filtros são usados na aprendizagem automática, consulte a Galeria Azure AI:

  • Filtros: Demonstra todos os tipos de filtros. O exemplo utiliza um conjunto de dados de forma de onda projetado para ilustrar mais facilmente os efeitos dos diferentes filtros.

Exemplo do filtro FIR: Média de movimento ponderado exponencial

Para uma média móvel exponencialmente ponderada, todos os coeficientes são inferiores a um e a soma de todos os coeficientes é igual a um. Portanto, a variação da média ponderada será sempre inferior aos valores de entrada.

Por exemplo, para que um filtro FIR se aproxime de uma média móvel ponderada exponencialmente (WMA), forneceria uma lista de coeficientes separados em vírgula para o valor do parâmetro feed-forward:

0.01818182, 0.03636364, 0.05454545, 0.07272727, 0.09090909, 0.10909091, 0.12727273, 0.14545455, 0.16363636, 0.18181818

Exemplo do filtro FIR: Média de movimento ponderado exponencial (Interpolação Deslauriers-Dubuc)

Este filtro FIR aproxima-se de uma média móvel triangularmente ponderada (WMA). Define-se os coeficientes fornecendo uma série de valores separados por vírgulas para os parâmetros de mente para a frente, tais como estes:

0.0625, 0.0625, 0.2500, 0.3750, 0.2500, 0.0625

Os valores utilizados neste filtro FIR personalizado representam um vetor de coeficientes de feed-forward obtidos utilizando o método Deslauriers-Dubuc de sequenciação finita. Para obter mais informações, consulte a Subdivisão Dubuc-Deslauriers para sequências finitas e ondas de interpolação num intervalo.

Exemplo do filtro IIR: Filtro de entalhe

Um bom exemplo de uma aplicação para um filtro IIR definido pelo utilizador é definir um filtro de entalhe, também chamado de filtro de paragem de banda. O filtro de entalhe desejado atenua uma banda de rejeição de -3dB, fb, centrada numa frequência de entalhe, fncom uma frequência de amostragem, fs.

Neste caso, o filtro de entalhe digital pode ser representado pela seguinte fórmula:

custom notch filter example 1

Esta fórmula pressupõe:

custom notch filter

A partir desta fórmula, podemos obter o coeficiente de feed-forward:

feed forward coefficient for custom notch filter

Os coeficientes de alimentação para trás seriam os seguintes:

feed back coefficient for custom notch filter

Exemplo do filtro IIR: Filtro de entalhe 2

O exemplo a seguir mostra um filtro de entalhe com uma frequência de fn =1250 Hz entalhe e uma -3 dB banda de rejeição de fb =100 Hz, com frequência de amostragem de fs=10 kHz.

formula for notch filter example 2-1

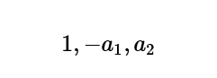
Utilizando a seguinte fórmula, obtém-se a2 = 0.93906244 e a1 = 1.3711242:

formulas 2 for notch filter example 2

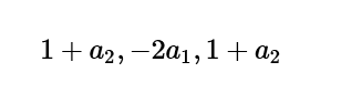
A partir deste, pode obter os seguintes coeficientes de feed-forward (b) e feed-back (a):

b= 1.9390624, -2.7422484, 1.9390624

a= 1, -1.3711242, 0.9390624

Parâmetros do módulo

Nome Intervalo Tipo Predefinição Description
Tipo de filtro qualquer ImpulsoResponse Especificar o tipo de filtro para personalizar
a frente qualquer String "1.0" Digite uma série de coeficientes de feed-forward
para trás qualquer String "1.0" Digite uma série de coeficientes de filtro para trás

Saída

Nome Tipo Description
Filtro Interface IFilter Implementação do filtro

Exceções

Exceção Description
ParâmetrosParsing Uma exceção ocorre se um ou mais parâmetros não puderem ser analisados ou convertidos do tipo especificado para o tipo que é exigido pelo método-alvo.

Para obter uma lista de erros específicos dos módulos Studio (clássicos), consulte Machine Learning Códigos de Erro.

Para obter uma lista de exceções da API, consulte Machine Learning CÓDIGOs de Erro da API REST.

Ver também

Aplicar Filtro
Lista de Módulos A-Z