次の方法で共有


IDCompositionScaleTransform インターフェイス (dcomp.h)

x 軸と y 軸に沿ったビジュアルのスケールに影響を与える 2D 変換を表します。 座標系は、指定した中心点からスケーリングされます。

継承

IDCompositionScaleTransform インターフェイスは、IDCompositionTransform から継承します。 IDCompositionScaleTransform には、次の種類のメンバーもあります。

メソッド

IDCompositionScaleTransform インターフェイスには、これらのメソッドがあります。

 
IDCompositionScaleTransform::SetCenterX

2D スケール変換の CenterX プロパティの値を変更します。
IDCompositionScaleTransform::SetCenterX

2D スケール変換の CenterX プロパティの値をアニメーション化します。
IDCompositionScaleTransform::SetCenterY

2D スケール変換の CenterY プロパティの値を変更します。
IDCompositionScaleTransform::SetCenterY

2D スケール変換の CenterY プロパティの値をアニメーション化します。
IDCompositionScaleTransform::SetScaleX

2D スケール変換の ScaleX プロパティの値を変更します。
IDCompositionScaleTransform::SetScaleX

2D スケール変換の ScaleX プロパティの値をアニメーション化します。
IDCompositionScaleTransform::SetScaleY

2D スケール変換の ScaleY プロパティの値を変更します。
IDCompositionScaleTransform::SetScaleY

2D スケール変換の ScaleY プロパティの値をアニメーション化します。

解説

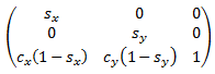
スケール変換は、次の 3 対 3 の行列を表します。

3 対 3 のスケール マトリックス

この効果は、座標系を上下にスケーリングし、中心点が移動しないように対応する平行移動を適用することです。

要件

   
サポートされている最小のクライアント Windows 8 [デスクトップ アプリのみ]
サポートされている最小のサーバー Windows Server 2012 [デスクトップ アプリのみ]
対象プラットフォーム Windows
ヘッダー dcomp.h

関連項目

IDCompositionTransform

IDCompositionVisual::SetTransform