Nota
L'accesso a questa pagina richiede l'autorizzazione. È possibile provare ad accedere o modificare le directory.
L'accesso a questa pagina richiede l'autorizzazione. È possibile provare a modificare le directory.
Rappresenta una trasformazione 2D che influisce sulla scala di un oggetto visivo lungo l'asse x e l'asse y. Il sistema di coordinate viene ridimensionato dal punto centrale specificato.
Ereditarietà
L'interfaccia IDCompositionScaleTransform eredita da IDCompositionTransform. IDCompositionScaleTransform include anche questi tipi di membri:
Metodi
L'interfaccia IDCompositionScaleTransform include questi metodi.
|
IDCompositionScaleTransform::SetCenterX Modifica il valore della proprietà CenterX di una trasformazione di scala 2D. |
|
IDCompositionScaleTransform::SetCenterX Anima il valore della proprietà CenterX di una trasformazione di scala 2D. |
|
IDCompositionScaleTransform::SetCenterY Modifica il valore della proprietà CenterY di una trasformazione di scala 2D. |
|
IDCompositionScaleTransform::SetCenterY Anima il valore della proprietà CenterY di una trasformazione di scala 2D. |
|
IDCompositionScaleTransform::SetScaleX Modifica il valore della proprietà ScaleX di una trasformazione di scala 2D. |
|
IDCompositionScaleTransform::SetScaleX Anima il valore della proprietà ScaleX di una trasformazione di scala 2D. |
|
IDCompositionScaleTransform::SetScaleY Modifica il valore della proprietà ScaleY di una trasformazione di scala 2D. |
|
IDCompositionScaleTransform::SetScaleY Anima il valore della proprietà ScaleY di una trasformazione di scala 2D. |
Commenti
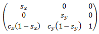
Una trasformazione di scala rappresenta la matrice di 3 by-3 seguente:
L'effetto consiste nel ridimensionare il sistema di coordinate verso l'alto o verso il basso e applicare la traslazione corrispondente in modo che il punto centrale non si sposti.
Requisiti
| Client minimo supportato | Windows 8 [solo app desktop] |
| Server minimo supportato | Windows Server 2012 [solo app desktop] |
| Piattaforma di destinazione | Windows |
| Intestazione | dcomp.h |