Condividi tramite


enumerazione D2D1_3DTRANSFORM_PROP (d2d1effects.h)

Identificatori per le proprietà dell'effetto trasformazione 3D.

Sintassi

typedef enum D2D1_3DTRANSFORM_PROP {
  D2D1_3DTRANSFORM_PROP_INTERPOLATION_MODE = 0,
  D2D1_3DTRANSFORM_PROP_BORDER_MODE = 1,
  D2D1_3DTRANSFORM_PROP_TRANSFORM_MATRIX = 2,
  D2D1_3DTRANSFORM_PROP_FORCE_DWORD = 0xffffffff
} ;

Costanti

 
D2D1_3DTRANSFORM_PROP_INTERPOLATION_MODE
Valore: 0
La modalità di interpolazione usa l'effetto sull'immagine. Esistono 5 modalità di scalabilità che vanno in qualità e velocità.


Il tipo è D2D1_3DTRANSFORM_INTERPOLATION_MODE.

Il valore predefinito è D2D1_3DTRANSFORM_INTERPOLATION_MODE_LINEAR.
D2D1_3DTRANSFORM_PROP_BORDER_MODE
Valore: 1
Modalità utilizzata per calcolare il bordo dell'immagine, soft o hard. Per altre informazioni, vedere Modalità bordo.


Il tipo è D2D1_BORDER_MODE.

Il valore predefinito è D2D1_BORDER_MODE_SOFT.
D2D1_3DTRANSFORM_PROP_TRANSFORM_MATRIX
Valore: 2
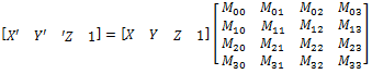
Matrice di trasformazione 4x4 applicata al piano di proiezione. Il calcolo della matrice seguente viene usato per eseguire il mapping dei punti da un sistema di coordinate 3D
al sistema di coordinate 2D trasformato.


Matrice profondità 3D
Dove:

X, Y, Z = Coordinate del piano di proiezione di input

Mx,y = Trasformare gli elementi Matrice

X', Y', Z' =Coordinate del piano di proiezione di output




I singoli elementi matrice non sono associati e non sono unitless.

Il tipo è D2D1_MATRIX_4X4_F.

Il valore predefinito è Matrix4x4F(1, 0, 0, 0,
0, 1, 0, 0,
0, 0, 1, 0,
0, 0, 0, 1).
D2D1_3DTRANSFORM_PROP_FORCE_DWORD
Valore: 0xffffffff

Requisiti

Requisito Valore
Intestazione d2d1effects.h