Nota
L'accesso a questa pagina richiede l'autorizzazione. È possibile provare ad accedere o modificare le directory.
L'accesso a questa pagina richiede l'autorizzazione. È possibile provare a modificare le directory.
Calcola la funzione di errore o la funzione di errore complementare di un valore.
Sintassi
double erf(
double x
);
float erf(
float x
); // C++ only
long double erf(
long double x
); // C++ only
float erff(
float x
);
long double erfl(
long double x
);
double erfc(
double x
);
float erfc(
float x
); // C++ only
long double erfc(
long double x
); // C++ only
float erfcf(
float x
);
long double erfcl(
long double x
);
#define erf(X) // Requires C11 or later
#define erfc(X) // Requires C11 or later
Parametri
x
Un valore a virgola mobile.
Valore restituito
Le funzioni erf restituiscono la funzione di errore di Gauss di x. Le funzioni erfc restituiscono la funzione di errore di Gauss complementare di x.
Osservazioni:
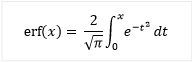
Le erf funzioni calcolano la funzione di errore Gauss di x, definita come:

La funzione di errore Gauss complementare è definita come 1 - erf(x). Le funzioni erf restituiscono un valore compreso tra -1,0 e 1,0. Non viene restituito alcun errore. Le funzioni erfc restituiscono un valore compreso tra 0 e 2. Se x è troppo grande per erfc, la variabile errno è impostata su ERANGE.
Poiché C++ consente l'overload, è possibile chiamare erf e erfc overload che accettano e restituiscono float tipi e long double . In un programma C, a meno che non si usi la <macro tgmath.h> per chiamare questa funzione erf e erfc accettare e restituire sempre .double
Se si utilizza la <macro tgmath.h>erf() , il tipo dell'argomento determina quale versione della funzione è selezionata. Per informazioni dettagliate, vedere La matematica generica dei tipi.
Per impostazione predefinita, lo stato globale di questa funzione è limitato all'applicazione. Per modificare questo comportamento, vedere Stato globale in CRT.
Requisiti
| Funzione | Intestazione obbligatoria |
|---|---|
erf, erff, erfl, erfc, erfcferfcl |
<math.h> |
erf macro |
<tgmath.h> |
Per altre informazioni sulla compatibilità, vedere Compatibility (Compatibilità).