Filtro definido por el usuario

Crea un filtro de respuesta de impulso finito o infinito personalizado

Categoría: Transformación de datos/Filtro

Nota

Se aplica a: solo Machine Learning Studio (clásico)

Hay módulos para arrastrar y colocar similares en el diseñador de Azure Machine Learning.

Información general sobre el módulo

En este artículo se describe cómo usar el módulo Filtro definido por el usuario en Machine Learning Studio (clásico), para definir un filtro personalizado mediante un filtro de respuesta de impulso finito (FIR) o un filtro de respuesta de impulso infinito (IIR) con coeficientes que especifique.

Un filtro es una función de transferencia que toma una señal de entrada y crea una señal de salida basada en las características del filtro. Para obtener más información general sobre el usuario de filtros en el procesamiento de señales digitales, consulte Filtro. Este módulo es especialmente útil para aplicar un conjunto de coeficientes de filtro previamente derivados a los datos.

Después de definir un filtro que satisfaga sus necesidades, puede aplicar el filtro a los datos mediante la conexión de un conjunto de datos y el filtro al módulo Aplicar filtro.

Sugerencia

¿Necesita filtrar los datos de un conjunto de datos o quitar los valores que faltan? Use estos módulos en su lugar:

  • Limpiar datos que faltan: use este módulo para quitar los valores que faltan o reemplazar los valores que faltan por marcadores de posición.
  • Partición y ejemplo: use este módulo para dividir o filtrar el conjunto de datos por criterios como un intervalo de fechas, un valor específico o expresiones regulares.
  • Recortar valores: use este módulo para establecer un intervalo y mantener solo los valores dentro de ese intervalo.

Configuración del filtro de User-Defined

  1. Agregue el módulo Filtro definido por el usuario al experimento en Studio (clásico). Puede encontrar este módulo en Transformación de datos, en la categoría Filtro .

  2. En el panel Propiedades , elija un tipo de filtro: filtro FIR o filtro IIR.

  3. Proporcione los coeficientes que se aplicarán en el filtro. Los requisitos de los coeficientes difieren en función de si se elige un filtro FIR o un filtro IIR.

    • Para un filtro FIR, especifique un vector de coeficientes de alimentación delantera. La longitud del vector determina el orden del filtro. Un filtro FIR es eficazmente una media móvil, por lo que los valores de configuración aplican una media móvil para filtrar una secuencia de datos.

    • Para un filtro IIR, se aplican coeficientes de alimentación delantera y de alimentación trasera. Consulte la sección Ejemplos para obtener algunas sugerencias.

  4. Conectar el filtro para aplicar filtro y conectar un conjunto de datos.

    Use el selector de columnas para especificar las columnas del conjunto de datos a las que se debe aplicar el filtro. De forma predeterminada, el módulo Aplicar filtro usará el filtro para todas las columnas numéricas seleccionadas.

  5. Ejecute el experimento.

    Las transformaciones especificadas se aplican a las columnas numéricas seleccionadas solo cuando se ejecuta el experimento mediante Aplicar filtro.

Ejemplos

Para obtener más ejemplos de cómo se usan los filtros en el aprendizaje automático, consulte la Galería de Azure AI:

  • Filtros: muestra todos los tipos de filtro. El ejemplo utiliza un conjunto de datos de forma de onda de ingeniería para mostrar mejor los efectos de los distintos filtros.

Ejemplo de filtro FIR: media móvil ponderada exponencialmente

Para una media móvil ponderada exponencialmente, todos los coeficientes son menores que la unidad y la suma de todos los coeficientes es igual a uno. Por lo tanto, la varianza de la media ponderada siempre será menor que los valores de entrada.

Por ejemplo, para que un filtro FIR se aproxime a una media móvil ponderada exponencialmente (WMA), podría facilitar una lista separada por comas de los coeficientes para el valor del parámetro de alimentación hacia delante:

0.01818182, 0.03636364, 0.05454545, 0.07272727, 0.09090909, 0.10909091, 0.12727273, 0.14545455, 0.16363636, 0.18181818

Ejemplo de filtro FIR: media móvil ponderada exponencial (interpolación de Deslauriers-Dubuc)

Este filtro FIR se aproxima a una media móvil ponderada triangularmente (WMA). Para definir los coeficientes, proporcione una serie de valores separados por comas para los parámetros de avance de fuente, como estos:

0.0625, 0.0625, 0.2500, 0.3750, 0.2500, 0.0625

Los valores usados en este filtro FIR personalizado representan un vector de coeficientes de avance obtenidos mediante el método Deslauriers-Dubuc de secuenciación finita. Para obtener más información, vea Dubuc-Deslauriers Subdivision for Finite Sequences and Interpolation Wavelets on an Interval.

Ejemplo de filtro IIR: Filtro de notch

Un buen ejemplo de una aplicación para un filtro IIR definido por el usuario es definir un filtro de notch, también denominado filtro bandtop. El filtro de notch deseado atenua una banda de rechazo -3dB, fb, centrada en una frecuencia de notch, , fncon una frecuencia de muestreo, fs.

En este caso, el filtro de notch digital puede representarse mediante la fórmula siguiente:

custom notch filter example 1

En esta fórmula se da por supuesto:

custom notch filter

A partir de esta fórmula, podemos obtener el coeficiente de avance de avance:

feed forward coefficient for custom notch filter

Los coeficientes de avance hacia atrás serían los siguientes:

feed back coefficient for custom notch filter

Ejemplo de filtro IIR: Filtro de notch 2

En el ejemplo siguiente se muestra un filtro de notch con una frecuencia de notch de fn =1250 Hz y una -3 dB banda de rechazo de fb =100 Hz, con frecuencia de muestreo de fs=10 kHz.

formula for notch filter example 2-1

Con la fórmula siguiente, obtendrá a2 = 0.93906244 y a1 = 1.3711242:

formulas 2 for notch filter example 2

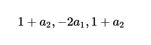
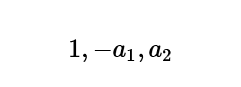
A partir de esto, puede obtener los siguientes coeficientes de avance hacia delante (b) y avance hacia atrás (a):

b= 1.9390624, -2.7422484, 1.9390624

a= 1, -1.3711242, 0.9390624

Parámetros del módulo

Nombre Intervalo Tipo Valor predeterminado Descripción
Tipo de filtro cualquiera ImpulseResponse Especificar el tipo de filtro para personalizar
Adelante cualquiera String "1.0" Escribir una serie de coeficientes de alimentación delantera
atrás cualquiera String "1.0" Escribir una serie de coeficientes de filtro con alimentación trasera

Output

Nombre Tipo Descripción
Filter Interfaz IFilter Implementación del filtro

Excepciones

Excepción Descripción
ParameterParsing Se produce una excepción si uno o varios parámetros no se pudieron analizar o convertir desde tipo especificado al tipo requerido por el método de destino.

Para obtener una lista de errores específicos de los módulos de Studio (clásico), consulte Machine Learning códigos de error.

Para obtener una lista de excepciones de API, consulte Machine Learning códigos de error de la API REST.

Consulte también

Aplicar filtro
Lista de módulos A-Z