Hinweis
Für den Zugriff auf diese Seite ist eine Autorisierung erforderlich. Sie können versuchen, sich anzumelden oder das Verzeichnis zu wechseln.
Für den Zugriff auf diese Seite ist eine Autorisierung erforderlich. Sie können versuchen, das Verzeichnis zu wechseln.
Stellt eine 2D-Transformation dar, die sich auf die Skalierung eines Visuals entlang der X- und Y-Achse auswirkt. Das Koordinatensystem wird vom angegebenen Mittelpunkt aus skaliert.
Vererbung
Die IDCompositionScaleTransform-Schnittstelle erbt von IDCompositionTransform. IDCompositionScaleTransform verfügt auch über folgende Membertypen:
Methoden
Die IDCompositionScaleTransform-Schnittstelle verfügt über diese Methoden.
|
IDCompositionScaleTransform::SetCenterX Ändert den Wert der CenterX-Eigenschaft einer 2D-Skalierungstransformation. |
|
IDCompositionScaleTransform::SetCenterX Animiert den Wert der CenterX-Eigenschaft einer 2D-Skalierungstransformation. |
|
IDCompositionScaleTransform::SetCenterY Ändert den Wert der CenterY-Eigenschaft einer 2D-Skalierungstransformation. |
|
IDCompositionScaleTransform::SetCenterY Animiert den Wert der CenterY-Eigenschaft einer 2D-Skalierungstransformation. |
|
IDCompositionScaleTransform::SetScaleX Ändert den Wert der ScaleX-Eigenschaft einer 2D-Skalierungstransformation. |
|
IDCompositionScaleTransform::SetScaleX Animiert den Wert der ScaleX-Eigenschaft einer 2D-Skalierungstransformation. |
|
IDCompositionScaleTransform::SetScaleY Ändert den Wert der ScaleY-Eigenschaft einer 2D-Skalierungstransformation. |
|
IDCompositionScaleTransform::SetScaleY Animiert den Wert der ScaleY-Eigenschaft einer 2D-Skalierungstransformation. |
Hinweise
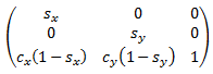
Eine Skalierungstransformation stellt die folgende 3-mal-3-Matrix dar:
Der Effekt besteht darin, das Koordinatensystem nach oben oder unten zu skalieren und die entsprechende Übersetzung so anzuwenden, dass sich der Mittelpunkt nicht bewegt.
Anforderungen
| Unterstützte Mindestversion (Client) | Windows 8 [nur Desktop-Apps] |
| Unterstützte Mindestversion (Server) | Windows Server 2012 [nur Desktop-Apps] |
| Zielplattform | Windows |
| Kopfzeile | dcomp.h |