Hinweis
Für den Zugriff auf diese Seite ist eine Autorisierung erforderlich. Sie können versuchen, sich anzumelden oder das Verzeichnis zu wechseln.
Für den Zugriff auf diese Seite ist eine Autorisierung erforderlich. Sie können versuchen, das Verzeichnis zu wechseln.
Bezeichner für Eigenschaften des 3D-Transformationseffekts.
Syntax
typedef enum D2D1_3DTRANSFORM_PROP {
D2D1_3DTRANSFORM_PROP_INTERPOLATION_MODE = 0,
D2D1_3DTRANSFORM_PROP_BORDER_MODE = 1,
D2D1_3DTRANSFORM_PROP_TRANSFORM_MATRIX = 2,
D2D1_3DTRANSFORM_PROP_FORCE_DWORD = 0xffffffff
} ;
Konstanten
D2D1_3DTRANSFORM_PROP_INTERPOLATION_MODEWert: 0 Der Interpolationsmodus, den der Effekt für das Bild verwendet. Es gibt 5 Skalierungsmodi, die in Qualität und Geschwindigkeit reichen. Typ ist D2D1_3DTRANSFORM_INTERPOLATION_MODE. Der Standardwert ist D2D1_3DTRANSFORM_INTERPOLATION_MODE_LINEAR. |
D2D1_3DTRANSFORM_PROP_BORDER_MODEWert: 1 Der Modus, der verwendet wird, um den Rahmen des Bilds zu berechnen, weich oder hart. Weitere Informationen finden Sie unter Rahmenmodi. Typ ist D2D1_BORDER_MODE. Der Standardwert ist D2D1_BORDER_MODE_SOFT. |
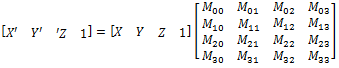
D2D1_3DTRANSFORM_PROP_TRANSFORM_MATRIXWert: 2 Eine 4x4-Transformationsmatrix, die auf die Projektionsebene angewendet wird. Die folgende Matrixberechnung wird verwendet, um Punkte aus einem 3D-Koordinatensystem zuzuordnen. in das transformierte 2D-Koordinatensystem.
Hierbei gilt:
Die einzelnen Matrixelemente sind nicht begrenzt und einheitslos. Typ ist D2D1_MATRIX_4X4_F. Standardwert ist Matrix4x4F(1, 0, 0, 0, 0, 0, 1, 0, 0, 0, 0, 1, 0, 0, 0, 0, 1). |
D2D1_3DTRANSFORM_PROP_FORCE_DWORDWert: 0xffffffff |
Anforderungen
| Anforderung | Wert |
|---|---|
| Header | d2d1effects.h |