Erkennen und Beenden von Deadlocks
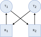
Ein Deadlock tritt auf, wenn sich zwei Tasks dauerhaft gegenseitig blockieren, weil jeder der Tasks eine Sperre für eine Ressource aufrecht erhält, die die anderen Tasks zu sperren versuchen. Die folgende Abbildung zeigt den Deadlockstatus auf hoher Ebene, wobei Folgendes gilt.
Task T1 erhält eine Sperre für Ressource R1 aufrecht (wird durch den Pfeil von R1 zu T1 angezeigt) und hat eine Sperre für Ressource R2 angefordert (wird durch den Pfeil von T1 zu R2 angezeigt).
Task T2 erhält eine Sperre für Ressource R2 aufrecht (wird durch den Pfeil von R2 zu T1 angezeigt) und hat eine Sperre für Ressource R1 angefordert (wird durch den Pfeil von T2 zu R1 angezeigt).
Da keiner der Tasks fortgesetzt werden kann, bevor eine Ressource verfügbar ist, und keine der Ressourcen freigegeben werden kann, bevor ein Task fortgesetzt wird, ist ein Deadlock vorhanden.
.gif)
SQL Server Database Engine (Datenbankmodul) erkennt Deadlockzyklen in SQL Server automatisch. Database Engine (Datenbankmodul) wählt eine der Sitzungen als Deadlockopfer aus, und die aktuelle Transaktion wird mit einem Fehler beendet, um den Deadlock zu durchbrechen.
Ressourcen, die an einem Deadlock beteiligt sein können
Für jede Benutzersitzung werden möglicherweise ein oder mehrere Tasks ausgeführt, von denen jeder Task eine Vielzahl von Ressourcen abruft oder auf den Abruf wartet. Die folgenden Typen von Ressourcen können eine Blockierung bewirken, die zu einem Deadlock führt.
Sperren. Das Warten auf den Abruf von Sperren für Ressourcen, z. B. Objekte, Seiten, Zeilen, Metadaten und Anwendungen, kann einen Deadlock verursachen. Transaktion T1 besitzt z. B. eine freigegebene (S) Sperre für Zeile r1 und wartet darauf, eine exklusive (X) Sperre für r2 zu erhalten. Transaktion T2 besitzt eine freigegebene (S) Sperre für Zeile r2 und wartet darauf, eine exklusive (X) Sperre für Zeile r1 zu erhalten. Dies führt zu einem Sperrenzyklus, in dem T1 und T2 darauf warten, dass die jeweils andere Transaktion die gesperrten Ressourcen freigibt.
Arbeitsthreads. Ein Task in der Warteschlange, der auf einen verfügbaren Arbeitsthread wartet, kann einen Deadlock verursachen. Wenn der Task in der Warteschlange Ressourcen besitzt, die alle Arbeitsthreads blockieren, führt dies zu einem Deadlock. Sitzung S1 startet z. B. eine Transaktion, ruft eine freigegebene (S) Sperre für Zeile r1 ab und wird dann in den Ruhezustand versetzt. Aktive Sitzungen, die für alle verfügbaren Arbeitsthreads ausgeführt werden, versuchen, exklusive (X) Sperren für Zeile r1 abzurufen. Da Sitzung S1 keinen Arbeitsthread abrufen kann, kann kein Commit für die Transaktion ausgeführt und die Sperre für Zeile r1 nicht freigegeben werden. Das Ergebnis ist ein Deadlock.
Arbeitsspeicher. Wenn gleichzeitige Anforderungen auf Arbeitsspeicherzuweisungen warten, die mit dem verfügbaren Arbeitsspeicher nicht befriedigt werden können, kann ein Deadlock auftreten. Zwei gleichzeitige Abfragen, Q1 und Q2, werden z. B. als benutzerdefinierte Funktionen ausgeführt, die 10 MB bzw. 20 MB Arbeitsspeicher abrufen. Wenn jede der Abfragen 30 MB benötigt und der gesamte verfügbare Arbeitsspeicher 20 MB beträgt, müssen Q1 und Q2 warten, bis die jeweils andere Transaktion Arbeitsspeicher freigibt; dies führt zu einem Deadlock.
Ressourcen in Verbindung mit einer parallelen Abfrageausführung. Coordinator-, Producer- oder Consumerthreads, die mit einem Austauschanschluss verknüpft sind, können einander blockieren und einen Deadlock verursachen, wenn mindestens ein weiterer Prozess eingeschlossen ist, der nicht Teil der parallelen Abfrage ist. Wenn also eine parallele Abfrageausführung gestartet wird, bestimmt SQL Server den Grad des Parallelismus oder die Anzahl der Arbeitsthreads auf Basis der aktuellen Arbeitsauslastung. Ein Deadlock kann auftreten, wenn sich die Arbeitsauslastung des Systems unerwartet ändert. Das ist beispielsweise der Fall, wenn neue Abfragen auf dem Server gestartet werden oder im System nicht mehr genügend Arbeitsthreads vorhanden sind.
MARS-Ressourcen (Multiple Active Result Sets). Diese Ressourcen werden zum Steuern des Interleavings mehrerer aktiver Anforderungen unter MARS verwendet (siehe Batch-Ausführungsumgebung und MARS).
Benutzerressource. Wenn ein Thread auf eine Ressource wartet, die potenziell von einer Benutzeranwendung gesteuert wird, wird die Ressource als externe oder Benutzerressource betrachtet und wie eine Sperre behandelt.
Sitzungsmutex. Die Tasks, die in einer Sitzung ausgeführt werden, sind verzahnt. Dies bedeutet, dass nur jeweils ein Task unter der Sitzung zu einem bestimmten Zeitpunkt ausgeführt werden kann. Bevor der Task ausgeführt werden kann, muss er exklusiven Zugriff auf den Sitzungsmutex besitzen.
Transaktionsmutex. Alle Tasks, die in einer Transaktion ausgeführt werden, sind verzahnt. Dies bedeutet, dass nur jeweils ein Task unter der Transaktion zu einem bestimmten Zeitpunkt ausgeführt werden kann. Bevor der Task ausgeführt werden kann, muss er exklusiven Zugriff auf den Transaktionsmutex besitzen.
Damit ein Task unter MARS ausgeführt werden kann, muss er den Sitzungsmutex abrufen. Wenn der Task unter einer Transaktion ausgeführt wird, muss er den Transaktionsmutex abrufen. Auf diese Weise wird garantiert, dass nur jeweils ein Task gleichzeitig in einer bestimmten Sitzung und einer bestimmten Transaktion aktiviert ist. Nachdem die erforderlichen Mutexe abgerufen wurden, kann der Task ausgeführt werden. Nachdem der Task beendet ist oder in der Mitte der Anforderung ein Ergebnis liefert, gibt er zuerst den Transaktionsmutex frei und dann den Sitzungsmutex (in umgekehrter Reihenfolge des Abrufs). Mit diesen Ressourcen können jedoch Deadlocks auftreten. Im folgenden Codebeispiel werden zwei Tasks, Benutzeranforderung U1 und Benutzeranforderung U2, in der gleichen Sitzung ausgeführt.
U1: Rs1=Command1.Execute("insert sometable EXEC usp_someproc"); U2: Rs2=Command2.Execute("select colA from sometable");Die gespeicherte Prozedur, die durch Benutzeranforderung U1 ausgeführt wird, hat den Sitzungsmutex abgerufen. Wenn die gespeicherte Prozedur viel Zeit für die Ausführung benötigt, geht Database Engine (Datenbankmodul) davon aus, dass die gespeicherte Prozedur auf Eingaben vom Benutzer wartet. Benutzeranforderung U2 wartet auf den Sitzungsmutex, während der Benutzer auf das Resultset aus U2 wartet, und U1 wartet auf eine Benutzerressource. Logisch stellt sich der Deadlockstatus wie folgt dar:
.gif)
Deadlockerkennung
Alle in diesem Abschnitt aufgeführten Ressourcen nehmen am Database Engine (Datenbankmodul)-Deadlockerkennungsschema teil. Die Deadlockerkennung wird von einem Sperrenüberwachungsthread ausgeführt, der periodisch alle Tasks in einer Instanz von Database Engine (Datenbankmodul) durchsucht. Die folgenden Schritte beschreiben den Suchvorgang:
Das Standardintervall beträgt 5 Sekunden.
Wenn der Sperrenüberwachungsthread Deadlocks findet, sinkt das Deadlockerkennungsintervall abhängig von der Häufigkeit von Deadlocks von 5 Sekunden auf bis zu 100 Millisekunden.
Wenn der Sperrenüberwachungsthread keine weiteren Deadlocks mehr findet, verlängert Database Engine (Datenbankmodul) die Intervalle zwischen den Suchvorgängen auf 5 Sekunden.
Wenn ein Deadlock gerade erkannt wurde, wird davon ausgegangen, dass die nächsten Threads, die auf eine Sperre warten müssen, in den Deadlockzyklus eingehen. Die ersten Wartevorgänge auf Sperren nach der Erkennung eines Deadlocks lösen sofort eine Deadlocksuche aus; es wird nicht auf das nächste Deadlockerkennungsintervall gewartet. Wenn das aktuelle Intervall z. B. 5 Sekunden beträgt und soeben ein Deadlock erkannt wurde, löst der nächste Wartevorgang auf eine Sperre die Deadlockerkennung sofort aus. Wenn dieser Wartevorgang auf eine Sperre Teil eines Deadlocks ist, wird er sofort und nicht erst während der nächsten Deadlocksuche erkannt.
Database Engine (Datenbankmodul) führt normalerweise nur regelmäßige Deadlockerkennung aus. Da die Anzahl der vorgefundenen Deadlocks im System in der Regel gering ist, kann mithilfe der regelmäßigen Erkennung von Deadlocks der Aufwand der Deadlockerkennung im System gesenkt werden.
Wenn die Sperrenüberwachung die Suche nach Deadlocks für einen bestimmten Thread initiiert, wird die Ressource identifiziert, auf die der Thread wartet. Die Sperrenüberwachung findet dann den (die) Besitzer dieser Ressource und führt rekursiv die Deadlocksuche für diese Threads fort, bis ein Zyklus gefunden wird. Ein auf diese Art identifizierter Zyklus bildet einen Deadlock.
Nachdem ein Deadlock erkannt wurde, beendet Database Engine (Datenbankmodul) den Deadlock, indem einer der Threads als Deadlockopfer ausgewählt wird. Database Engine (Datenbankmodul) beendet den aktuellen Batch, der für den Thread ausgeführt wird, führt ein Rollback der Transaktion des Deadlockopfers aus und gibt den Fehler 1205 an die Anwendung zurück. Durch den Rollback der Transaktion für das Deadlockopfer werden alle von der Transaktion aufrecht erhaltenen Sperren freigegeben. Auf diese Weise kann die Sperre der Transaktionen der anderen Threads aufgehoben werden, und diese können fortgesetzt werden. Der Fehler 1205 (Deadlockopfer) zeichnet Informationen zu den an einem Deadlock beteiligten Threads und Ressourcen im Fehlerprotokoll auf.
Standardmäßig wählt Database Engine (Datenbankmodul) die Sitzung als Deadlockopfer aus, die die Transaktion ausführt, für die mit dem geringsten Aufwand ein Rollback ausgeführt werden kann. Alternativ kann ein Benutzer mithilfe der SET DEADLOCK_PRIORITY-Anweisung die Priorität der Sitzungen im Falle eines Deadlocks angeben. DEADLOCK_PRIORITY kann auf LOW, NORMAL oder HIGH oder alternativ auf einen beliebigen ganzzahligen Wert im Bereich zwischen -10 und 10 festgelegt werden. Die Deadlockpriorität ist standardmäßig NORMAL. Wenn die Sitzungen verschiedene Deadlockprioritäten besitzen, wird die Sitzung mit der niedrigeren Deadlockpriorität als Deadlockopfer ausgewählt. Wurde für beide Sitzungen die gleiche Deadlockprioriät festgelegt, wird diejenige Sitzung als Deadlockopfer ausgewählt, für die der Rollback weniger aufwändig ist. Wenn die am Deadlockzyklus beteiligten Sitzungen die gleiche Deadlockpriorität und die gleichen Kosten besitzen, wird das Opfer zufällig ausgewählt.
Wenn CLR verwendet wird, erkennt der Deadlockmonitor automatisch Deadlocks für Synchronisierungsressourcen (Überwachungsprogramme, Leser/Schreibersperre und Threadjoin), auf die in verwalteten Prozeduren zugegriffen wird. Der Deadlock wird jedoch behoben, indem eine Ausnahme in der Prozedur ausgelöst wird, die als Deadlockopfer ausgewählt wurde. Beachten Sie unbedingt, dass die Ausnahme nicht automatisch Ressourcen freigibt, die sich zurzeit im Besitz des Opfers befinden; die Ressourcen müssen explizit freigegeben werden. Die zum Identifizieren eines Deadlockopfers verwendete Ausnahme kann konsistent mit dem Verhalten der Ausnahme abgefangen und behandelt werden.
Tools zum Anzeigen von Deadlockinformationen
Zum Anzeigen von Deadlockinformationen werden in Database Engine (Datenbankmodul) Überwachungstools in Form von zwei Ablaufverfolgungsflags sowie das Deadlock Graph-Ereignis in SQL Server Profiler bereitgestellt.
Ablaufverfolgungsflag 1204 und Ablaufverfolgungsflag 1222
Wenn Deadlocks auftreten, geben die Ablaufverfolgungsflags 1204 und 1222 Informationen zurück, die im SQL Server 2005-Fehlerprotokoll erfasst werden. Ablaufverfolgungsflag 1204 meldet von jedem im Deadlock beteiligten Knoten formatierte Deadlockinformationen. Ablaufverfolgungsflag 1222 formatiert Deadlockinformationen, zunächst prozessweise, anschließend Ressource für Ressource. Es ist möglich, beide Ablaufverfolgungsflags zu aktivieren, um zwei Darstellungen desselben Deadlockereignisses zu erhalten.
Zur weiteren Definition der Eigenschaften der Ablaufverfolgungsflags 1204 und 1222 werden in der folgenden Tabelle die Ähnlichkeiten und Unterschiede aufgeführt.
Eigenschaft |
Ablaufverfolgungsflag 1204 und Ablaufverfolgungsflag 1222 |
Nur Ablaufverfolgungsflag 1204 |
Nur Ablaufverfolgungsflag 1222 |
|---|---|---|---|
Ausgabeformat |
Die Ausgabe wird im SQL Server 2005-Fehlerprotokoll erfasst. |
Ist auf die im Deadlock beteiligten Knoten ausgerichtet. Jeder Knoten verfügt über einen dedizierten Abschnitt, wobei der letzte Abschnitt das Deadlockopfer beschreibt. |
Gibt Informationen im XML-ähnlichen Format zurück, das einer XSD-Sprache (XML Schema Definition) nicht entspricht. Das Format verfügt über drei große Abschnitte. Der erste Abschnitt deklariert das Deadlockopfer. Der zweite Abschnitt beschreibt die jeweiligen im Deadlock beteiligten Prozesse. Der dritte Abschnitt beschreibt die Ressourcen, die den Knoten des Ablaufverfolgungsflags 1204 entsprechen. |
Identifizieren von Attributen |
SPID:<x> ECID:<x>. Identifiziert den Thread der Systemprozess-ID bei parallelen Prozessen. Der Eintrag SPID:<x> ECID:0, in dem <x> durch den SPID-Wert ersetzt wird, stellt den Hauptthread dar. Der Eintrag SPID:<x> ECID:<y>, in dem <x> durch den SPID-Wert ersetzt wird und <y> größer als 0 ist, stellt die Unterthreads desselben SPID-Werts dar. BatchID (sbid für Ablaufverfolgungsflag 1222). Identifiziert den Batch, von dem die Codeausführung angefragt oder eine Sperre aufrechterhalten wird. Wenn MARS (Multiple Active Result Sets) deaktiviert sind, ist der BatchID-Wert gleich 0. Wenn MARS aktiviert sind, beträgt der Wert für aktive Batches 1 bis n. Sind in der Sitzung keine aktiven Batches vorhanden, ist der BatchID-Wert gleich 0. Mode. Gibt den Typ der Sperre für eine bestimmte Ressource an, die angefragt, erteilt oder von einem Thread erwartet wird. Dies kann eine beabsichtigte freigegebene Sperre (Intent Shared, IS), eine freigegebene Sperre (Shared), eine Aktualisierungssperre (Update, U), eine beabsichtigte exklusive Sperre (Intent Exclusive, IX), eine freigegebene mit beabsichtigten exklusiven Sperren (Shared with Intent Exclusive, SIX) und eine exklusive Sperre (Exclusive, X) sein. Weitere Informationen finden Sie unter Sperrmodi. Line # (line für Ablaufverfolgungsflag 1222). Listet die Zeilennummer des aktuellen Batches von Anweisungen auf, die beim Auftreten des Deadlocks ausgeführt wurden. Input Buf (inputbuf für Ablaufverfolgungsflag 1222). Listet alle Anweisungen im aktuellen Batch auf. |
Node. Stellt die Eintragsnummer in der Deadlockkette dar. Lists. Der Sperrenbesitzer kann Bestandteil dieser Listen sein:
Statement Type. Beschreibt den Typ der DML-Anweisung (SELECT, INSERT, UPDATE oder DELETE), für die Threads über Berechtigungen verfügen. Victim Resource Owner. Gibt den teilnehmenden Thread an, den SQL Server zum Durchbrechen des Deadlockzyklus als Opfer auswählt. Der ausgewählte Thread und alle vorhandenen Unterthreads werden beendet. Next Branch. Stellt die beiden oder mehreren im Deadlockzyklus beteiligten Unterthreads desselben SPID-Werts dar. |
deadlock victim. Stellt die physische Speicheradresse des Tasks dar (siehe sys.dm_os_tasks (Transact-SQL)), der als Deadlockopfer ausgewählt wurde. Im Fall eines nicht aufgelösten Deadlocks kann diese Angabe 0 (Null) sein. Ein Task, für den ein Rollback ausgeführt wird, kann nicht als Deadlockopfer ausgewählt werden. executionstack. Stellt den Transact-SQL-Code dar, der zum Zeitpunkt des Auftretens des Deadlocks ausgeführt wird. priority. Stellt die Deadlockpriorität dar. Unter bestimmten Umständen kann Database Engine (Datenbankmodul) die Deadlockpriorität für eine kurze Zeitspanne ändern, um eine bessere Parallelität zu erzielen. logused. Vom Task verwendeter Protokollspeicherplatz. owner id. Die ID der Transaktion, die die Steuerung der Anforderung durchführt. status. Der Status des Tasks. Ist einer der folgenden Werte:
waitresource. Die vom Task benötigte Ressource. waittime. Zeitspanne in Millisekunden, die auf die Ressource gewartet wurde. schedulerid. Diesem Task zugeordnetes Zeitplanungsmodul. Siehe sys.dm_os_schedulers (Transact-SQL). hostname. Der Name der Arbeitsstation. isolationlevel. Die aktuelle Isolationsstufe für Transaktionen. Xactid. Die ID der Transaktion, die die Steuerung der Anforderung durchführt. currentdb. Die ID der Datenbank. lastbatchstarted. Uhrzeit des letzten Starts der Batchausführung durch einen Clientprozess. lastbatchcompleted. Uhrzeit des letzten Abschlusses der Batchausführung durch einen Clientprozess. clientoption1 und clientoption2. SET-Optionen für diese Clientverbindung. Es handelt sich um ein Bitmuster, das Informationen zu Optionen enthält, die normalerweise durch SET-Anweisungen, z. B. SET NOCOUNT und SET XACTABORT, gesteuert werden. associatedObjectId. Stellt die HoBT-ID (Heap- oder B-Struktur) dar. |
Ressourcenattribute |
RID. Identifiziert die einzelne Zeile innerhalb einer Tabelle, in der eine Sperre aufrechterhalten oder angefragt wird. RID wird als RID dargestellt: db_id:file_id:page_no:row_no. Beispiel: RID: 6:1:20789:0. OBJECT. Identifiziert die Tabelle, in der eine Sperre aufrechterhalten oder angefragt wird. OBJECT wird als OBJECT dargestellt: db_id:object_id. Beispiel: TAB: 6:2009058193. KEY. Identifiziert den Schlüsselbereich innerhalb eines Indexes, in dem eine Sperre aufrechterhalten oder angefragt wird. KEY wird als KEY dargestellt: db_id:hobt_id (index key hash value). Beispiel: KEY: 6:72057594057457664 (350007a4d329). PAG. Identifiziert die Seitenressource, in der eine Sperre aufrechterhalten oder angefragt wird. PAG wird als PAG dargestellt: db_id:file_id:page_no. Beispiel: PAG: 6:1:20789. EXT. Identifiziert die Blockstruktur. EXT wird als EXT dargestellt: db_id:file_id:extent_no. Beispiel: EXT: 6:1:9. DB. Identifiziert die Datenbanksperre. DB wird auf eine der folgenden Arten dargestellt:
APP. Identifiziert die von einer Anwendungsressource erstellte Sperre. APP wird als APP dargestellt: lock_resource. Beispiel: APP: Formf370f478. METADATA. Stellt die in einem Deadlock beteiligten Metadatenressourcen dar. Da METADATA über viele Unterressourcen verfügt, hängt der zurückgegebene Wert von der Unterressource ab, für die ein Deadlock vorliegt. Beispiel: METADATA.USER_TYPE gibt user_type_id = <integer_value> zurück. Weitere Informationen zu METADATA-Ressourcen und -Unterressourcen finden Sie unter sys.dm_tran_locks (Transact-SQL). HOBT. Stellt eine in einem Deadlock beteiligte Heap- oder B-Struktur dar. |
Gilt nicht ausschließlich für dieses Ablaufverfolgungsflag. |
Gilt nicht ausschließlich für dieses Ablaufverfolgungsflag. |
Beispiel für Ablaufverfolgungsflag 1204
Im folgenden Beispiel wird die Ausgabe beim Aktivieren des Ablaufverfolgungsflags 1204 gezeigt. Hierbei wird die Tabelle auf Knoten 1 als Heap ohne Indizes und die Tabelle auf Knoten 2 als Heap mit einem nicht gruppierten Index verwendet. Der Indexschlüssel auf Knoten 2 wird beim Auftreten des Deadlocks aktualisiert.
Deadlock encountered .... Printing deadlock information
Wait-for graph
Node:1
RID: 6:1:20789:0 CleanCnt:3 Mode:X Flags: 0x2
Grant List 0:
Owner:0x0315D6A0 Mode: X
Flg:0x0 Ref:0 Life:02000000 SPID:55 ECID:0 XactLockInfo: 0x04D9E27C
SPID: 55 ECID: 0 Statement Type: UPDATE Line #: 6
Input Buf: Language Event:
BEGIN TRANSACTION
EXEC usp_p2
Requested By:
ResType:LockOwner Stype:'OR'Xdes:0x03A3DAD0
Mode: U SPID:54 BatchID:0 ECID:0 TaskProxy:(0x04976374) Value:0x315d200 Cost:(0/868)
Node:2
KEY: 6:72057594057457664 (350007a4d329) CleanCnt:2 Mode:X Flags: 0x0
Grant List 0:
Owner:0x0315D140 Mode: X
Flg:0x0 Ref:0 Life:02000000 SPID:54 ECID:0 XactLockInfo: 0x03A3DAF4
SPID: 54 ECID: 0 Statement Type: UPDATE Line #: 6
Input Buf: Language Event:
BEGIN TRANSACTION
EXEC usp_p1
Requested By:
ResType:LockOwner Stype:'OR'Xdes:0x04D9E258
Mode: U SPID:55 BatchID:0 ECID:0 TaskProxy:(0x0475E374) Value:0x315d4a0 Cost:(0/380)
Victim Resource Owner:
ResType:LockOwner Stype:'OR'Xdes:0x04D9E258
Mode: U SPID:55 BatchID:0 ECID:0 TaskProxy:(0x0475E374) Value:0x315d4a0 Cost:(0/380)
Beispiel für Ablaufverfolgungsflag 1222
Im folgenden Beispiel wird die Ausgabe beim Aktivieren des Ablaufverfolgungsflags 1222 gezeigt. Hierbei wird eine Tabelle als Heap ohne Indizes und die andere Tabelle als Heap mit einem nicht gruppierten Index verwendet. In der zweiten Tabelle wird der Indexschlüssel beim Auftreten des Deadlocks aktualisiert.
deadlock-list
deadlock victim=process689978
process-list
process id=process6891f8 taskpriority=0 logused=868
waitresource=RID: 6:1:20789:0 waittime=1359 ownerId=310444
transactionname=user_transaction
lasttranstarted=2005-09-05T11:22:42.733 XDES=0x3a3dad0
lockMode=U schedulerid=1 kpid=1952 status=suspended spid=54
sbid=0 ecid=0 priority=0 transcount=2
lastbatchstarted=2005-09-05T11:22:42.733
lastbatchcompleted=2005-09-05T11:22:42.733
clientapp=Microsoft SQL Server Management Studio - Query
hostname=TEST_SERVER hostpid=2216 loginname=DOMAIN\user
isolationlevel=read committed (2) xactid=310444 currentdb=6
lockTimeout=4294967295 clientoption1=671090784 clientoption2=390200
executionStack
frame procname=AdventureWorks2008R2.dbo.usp_p1 line=6 stmtstart=202
sqlhandle=0x0300060013e6446b027cbb00c69600000100000000000000
UPDATE T2 SET COL1 = 3 WHERE COL1 = 1;
frame procname=adhoc line=3 stmtstart=44
sqlhandle=0x01000600856aa70f503b8104000000000000000000000000
EXEC usp_p1
inputbuf
BEGIN TRANSACTION
EXEC usp_p1
process id=process689978 taskpriority=0 logused=380
waitresource=KEY: 6:72057594057457664 (350007a4d329)
waittime=5015 ownerId=310462 transactionname=user_transaction
lasttranstarted=2005-09-05T11:22:44.077 XDES=0x4d9e258 lockMode=U
schedulerid=1 kpid=3024 status=suspended spid=55 sbid=0 ecid=0
priority=0 transcount=2 lastbatchstarted=2005-09-05T11:22:44.077
lastbatchcompleted=2005-09-05T11:22:44.077
clientapp=Microsoft SQL Server Management Studio - Query
hostname=TEST_SERVER hostpid=2216 loginname=DOMAIN\user
isolationlevel=read committed (2) xactid=310462 currentdb=6
lockTimeout=4294967295 clientoption1=671090784 clientoption2=390200
executionStack
frame procname=AdventureWorks2008R2.dbo.usp_p2 line=6 stmtstart=200
sqlhandle=0x030006004c0a396c027cbb00c69600000100000000000000
UPDATE T1 SET COL1 = 4 WHERE COL1 = 1;
frame procname=adhoc line=3 stmtstart=44
sqlhandle=0x01000600d688e709b85f8904000000000000000000000000
EXEC usp_p2
inputbuf
BEGIN TRANSACTION
EXEC usp_p2
resource-list
ridlock fileid=1 pageid=20789 dbid=6 objectname=AdventureWorks2008R2.dbo.T2
id=lock3136940 mode=X associatedObjectId=72057594057392128
owner-list
owner id=process689978 mode=X
waiter-list
waiter id=process6891f8 mode=U requestType=wait
keylock hobtid=72057594057457664 dbid=6 objectname=AdventureWorks2008R2.dbo.T1
indexname=nci_T1_COL1 id=lock3136fc0 mode=X
associatedObjectId=72057594057457664
owner-list
owner id=process6891f8 mode=X
waiter-list
waiter id=process689978 mode=U requestType=wait
Profiler Deadlock Graph-Ereignis
Dies ist ein Ereignis in SQL Server Profiler, das eine grafische Darstellung der in einem Deadlock beteiligten Tasks und Ressourcen bereitstellt. Im folgenden Beispiel wird die Ausgabe von SQL Server Profiler gezeigt, wenn das Deadlock Graph-Ereignis aktiviert ist.
.gif)
Weitere Informationen zum Ausführen von Deadlock Graph in SQL Server Profiler finden Sie unter Analysieren von Deadlocks mit SQL Server Profiler.