Hinweis
Für den Zugriff auf diese Seite ist eine Autorisierung erforderlich. Sie können versuchen, sich anzumelden oder das Verzeichnis zu wechseln.
Für den Zugriff auf diese Seite ist eine Autorisierung erforderlich. Sie können versuchen, das Verzeichnis zu wechseln.
Berechnet die Fehlerfunktion oder die komplementäre Fehlerfunktion eines Werts.
Syntax
double erf(
double x
);
float erf(
float x
); // C++ only
long double erf(
long double x
); // C++ only
float erff(
float x
);
long double erfl(
long double x
);
double erfc(
double x
);
float erfc(
float x
); // C++ only
long double erfc(
long double x
); // C++ only
float erfcf(
float x
);
long double erfcl(
long double x
);
#define erf(X) // Requires C11 or later
#define erfc(X) // Requires C11 or later
Parameter
x
Ein Gleitkommawert.
Rückgabewert
Die erf-Funktionen geben die Gauß-Fehlerfunktion von x zurück. Die erfc-Funktionen geben die komplementäre Gauß-Fehlerfunktion von x zurück.
Hinweise
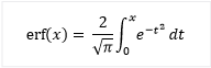
Die erf Funktionen berechnen die Gauss-Fehlerfunktion von x, die wie folgt definiert ist:

Die ergänzende Gauss-Fehlerfunktion ist als 1 - erf(x) definiert. Die erf-Funktionen geben einen Wert im Bereich -1,0 bis 1,0 zurück. Es gibt keine Fehlerrückgabe. Die erfc-Funktionen geben einen Wert im Bereich 0 bis 2 zurück. Wenn x für erfc zu groß ist, wird die errno-Variable auf ERANGE festgelegt.
Da C++ eine Überladung zulässt, können Sie Aufrufe und Überladungen aufrufen erf und erfc zurückgeben float und long double typen. In einem C-Programm, es sei denn, Sie verwenden das <Makro tgmath.h> , um diese Funktion aufzurufen, erf und erfc nehmen und geben Sie immer ein double.
Wenn Sie das Makro <tgmath.h>erf() verwenden, bestimmt der Typ des Arguments, welche Version der Funktion ausgewählt ist. Ausführliche Informationen finden Sie unter Typgengenerische Mathematik.
Standardmäßig gilt der globale Zustand dieser Funktion für die Anwendung. Wie Sie dieses Verhalten ändern, erfahren Sie unter Globaler Status in der CRT.
Anforderungen
| Funktion | Erforderlicher Header |
|---|---|
erf, , erfferfl, erfc, , erfcferfcl |
<math.h> |
erf-Makro |
<tgmath.h> |
Weitere Informationen zur Kompatibilität finden Sie unter Kompatibilität.