Bemærk
Adgang til denne side kræver godkendelse. Du kan prøve at logge på eller ændre mapper.
Adgang til denne side kræver godkendelse. Du kan prøve at ændre mapper.
Computes the error function or the complementary error function of a value.
Syntax
double erf(
double x
);
float erf(
float x
); // C++ only
long double erf(
long double x
); // C++ only
float erff(
float x
);
long double erfl(
long double x
);
double erfc(
double x
);
float erfc(
float x
); // C++ only
long double erfc(
long double x
); // C++ only
float erfcf(
float x
);
long double erfcl(
long double x
);
#define erf(X) // Requires C11 or later
#define erfc(X) // Requires C11 or later
Parameters
x
A floating-point value.
Return value
The erf functions return the Gauss error function of x. The erfc functions return the complementary Gauss error function of x.
Remarks
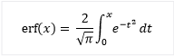
The erf functions calculate the Gauss error function of x, which is defined as:

The complementary Gauss error function is defined as 1 - erf(x). The erf functions return a value in the range -1.0 to 1.0. There's no error return. The erfc functions return a value in the range 0 to 2. If x is too large for erfc, the errno variable is set to ERANGE.
Because C++ allows overloading, you can call erf and erfc overloads that take and return float and long double types. In a C program, unless you're using the <tgmath.h> macro to call this function, erf and erfc always take and return a double.
If you use the <tgmath.h> erf() macro, the type of the argument determines which version of the function is selected. See Type-generic math for details.
By default, this function's global state is scoped to the application. To change this behavior, see Global state in the CRT.
Requirements
| Function | Required header |
|---|---|
erf, erff, erfl, erfc, erfcf, erfcl |
<math.h> |
erf macro |
<tgmath.h> |
For more compatibility information, see Compatibility.